近些年国内涌现了许多生产机柜PDU的企业,市场产品品质参差不齐,低劣产品冲击市场,对用户在用设备增加严重风险,在市场一遍红海的环境下,弈星突围而出。弈星以高品质的产品为发展主要方针, 同时在价格竞争力及研发实力加大投入,产品品质保证前提下还有较强的价格竞争力,可比美合资品牌。
弈星研发小组对智能配电软件系统及PDU的智能化进行深入研发,产品已覆盖智能电力监测系统及末端PDU智能化通讯系统的应用。
PDU电源分配单元,适用于电力、通信、控制等机柜设备,广泛应用于大/中/小型数据中心、办公场景、调度中心、控制中心等场景。
高品质PDU
弈星的PDU整机外壳采用T5强度环保型材,表面采用黑色喷塑,内部采用高纯度紫铜条一体化/自动化焊接工艺(电阻小、导电性能好),保障PDU产品外形美观、结构可靠、温升可控及满足ROSH标准。
产品依据IEC标准设计,支持标准机柜水平/垂直安装。满足合作伙伴定制化开发需求;支持选配功能模块:透明开放式接线盒、温度检测模块、空气/液压开关组件、电表模块、插座执行模块、防雷模块、熔丝等;支持单相交流、三相交流、48V直流、240V高压直流、336V高压直流等应用场景。
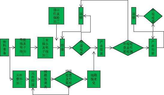
PDU制程管理流程

我们的PDU品质优势






PDU包装细节图

PDU包装细节讲解
1、产品包装沉稳大方:PDU产品采用环保结实的H828H纸包装,保证在运输过程中让产品免受损坏。在包装盒内测,上下有泡沫垫保护;在包装盒外侧,用户可以清晰地看到产品标签、标注型号参数。
2、细心服务,用户为本:打开包装盒后,可以看到在PDU产品还套了一层环保塑料袋,防水防尘,除此之外,包装盒内还随附了1份清单、1份合格证。